将数据(x1 ,y1 ),(x2,y2),…,(xn,yn )代入式(2),得到g关于k的一元二次函数,求当g最小时的k值,即为满足条件的最佳k值。根据已经求得的k值和已知数据,可以求出 ,即最佳b值。k,b均求出,则可以确定相应的直线方程y=kx+b 。
2牛顿迭代法
牛顿迭代法的基本思想为:设非线性方程f(x)在某一区间(a,6)内连续可导且满足f(a) f(b)<O,则在 该区间内f(x)=0必有一实根,故设法将非线性方程厂f(x)=0逐步转化为某种线性方程求解。
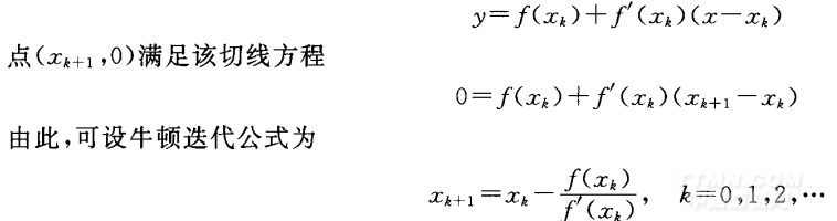
牛顿迭代法原理 :曲线y=f(x)与x轴的交点xm就是方程的根,设xk是它的一个近似根,过曲线y=f(x)上的点Pk [xk,,xk )]作切线与x轴的交点xk+1,切线方程为
.png)
3建立数学模型
3.1获取实验数据
实验数据由相关印染企业提供,3种染料分别为:元青(活 性蓝),3BS(活性红),3RS(活性黄)。为保证实验数据的准确 性,排除人眼色度误差等干扰因素,利用同一台扫描仪对同一批 次的染色试样进行扫描,将扫描所得试样存入电脑,再用软件对 所得试样取色,最终得到与浓度对应的RGB值。单一染料染色 试样数据的RGB值,如表1所示。
.png)
3.2分析实验数据
表1单一染料染色试样的RGB值对所获取的实验数据进行分析,可知R值主要受活性蓝的
质量浓度d1的影响,G值主要受活性蓝和活性红的质量浓度d1 ,d2的共同影响;B值受3种染料质量浓度d1 ,d2,d3的共同影响。由实验数据和实际情况可做如下假设:
1)3种染料之间互不影响。
2) 实验数据中存在一定误差,由于实际应用中3以内的RGB数值变化并不影响肉眼的观察,因此认为RGB值的合理误差范围为[一3,3]。
3) 由假设2)和实验数据可知,R由d1 决定;G由d1 ,d2 决定;B由d1,d2,d3决定。
3.3建立并求解数学模型
<<上一页[1][2][3][4][5]下一页>>
相关信息 







推荐企业
推荐企业
推荐企业