最终的G应该是一个在G2基础上的变化曲线且相互之间为线性关系,因此,假设G最终的表达式为
G=kG2+b
式中,k和b为d1 的函数。
.png)
根据最小误差平均值法和已知数据,可求得一次项系数k值和常数项系数b值与活性蓝染料质量浓度d1 的关系,如表4所示。
根据表4中的数据,对k,b与d1 关系进行曲线拟合,
可以求出k,b与活性蓝浓度d1 的关系式为
.png)
综上可得,G值与活性蓝染料浓度d 1及活性红染料浓度d2的关系表达式为
.png)
3.3.3求解B值
由于B由d1 ,d2,d3共同决定,利用求G值同样的方法先求出前两种浓度对B的影响公式。
当d3=0.4时,固定d1可以得到d2由0.2变化到1时的曲线。根据曲线可求得B随d2变化的形态曲线方程为
B2=20.557 ld2+8.214 3 d22;
B值最终的表达式为
B=lB 2+ m
式中,l,m为d1的函数。
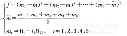
现在要求出l,m 的值,根据最小误差平均值法,即要求满足值并且误差最小的l。对d2取5组数由最小误差平均值法(2),有
.png)
根据最小误差平均值法和已知数据,可求得一次项系数l和常数项系数m与活性蓝染料质量浓度d1的关系,如表5所示。
.png)
根据表5数据,利用曲线拟合对l,m与d1 关系进行拟合,可得l,m与d1 的关系曲线。
<<上一页[1][2][3][4][5]下一页>>
相关信息 







推荐企业
推荐企业
推荐企业