当d3=0.4时,B与d1 ,d 2变化的函数为
.png)
当d3=0.8时,用同样的方法讨论B与d1 ,d 2的关系,可得B随d1 ,d 2变化的函数为
.png)
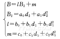
设求解B的函数为
.png)
其中,a0,a1,b0,b1 ,b2 ,c0,c1 ,c2是关于d3的函数,可以求出各系数与d3的线性关系式。 综上可得,B与3种染料浓度的关系函数为
.png)
4 计算结果
根据建立的数学模型,利用牛顿迭代法反求染料质量浓度,并与实际测量的染料质量浓度进行对比,其结果见表6所示。根据表6可以看出,根据建立的数学模型求出的RGB值与实际测量的RGB值之间的误差在误差允许范围之内。说明最小误差平均值拟合法能够较好地解决计算机染色配色的问题。
.png)
5 结束语
本文对织物染色配色进行了介绍,详细描述了相应的分析过程和所建立的数学模型。通过对实验数据的分析,利用最小误差平均值拟合法建立了染料浓度与RGB值之间的数学模型,通过比较计算,所求出的染料浓度与实际测量的染料浓度之间的误差在误差允许范围之内,基本符合实际,具有实际应用意义。但本文所用数据取自单一印染工厂,因此在普遍性上存在一定的局限。更广泛染料类型的浓度与RGB值之间的关系,是本课题以后继续研究的内容。
相关信息 







推荐企业
推荐企业
推荐企业