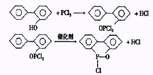
1.1.1 9,10-二氢-9-氯-10-氧杂膦菲的制备该产品是以邻苯基苯酚(OPP)与三氯化磷反应制得,反应是分两步进行的。首先,酚羟基与三氯化磷缩合,其次是碳-磷键的生成。反应式如下:
制备方法[3]:在500mL三口烧瓶上装上搅拌器、温度计、冷凝器及HCl气体吸收装置。加OPP1.2mol/L,PCl31.2mol /L×1.25。缓缓加热,当温度升到30℃左右,固体OPP溶解。当温度达50℃以后有HCl气体放出,温度升到145℃时HCl气体逐渐减少。加入催化剂1.2g,继续加热到210℃,直到HCl不再放出时减压除去剩余PCl3,得到一淡黄色粘稠固体。重结晶得淡黄色固体。经测定相对分子质量为 211.3,红外光谱分析(IR)表明P—C键吸收波数为1440cm-1。1.1.2 HCA的制备HCA的熔点115~119℃,白色固体,不吸水。易溶于甲醇、乙醇、氯仿、N、N-二甲基甲酰胺,二氧六环。反应式如下:
制备方法:取100gA加热到100℃。在2L烧杯中加入1L水,将加热的A在强烈搅拌下慢慢注入到水中,约1h则得白色粒状物。然后过滤得产物。以 200mL水,200mL乙醇进行重结晶,得到产物B。经元素分析及IR测定,确定为(B)。将B加热到105~110℃,化合物溶解,加热到130℃之后,减压除水。之后倒出,冷却则得到白色固体。经元素分析,IR测定确认为HCA。1.1.3 阻燃剂的制备在四口烧瓶上装有搅拌马达、回流冷凝器、温度计及氮气气入口管,加入HCA540g,衣康酸316g。加热至150℃时通氮气,反应4h。蒸出残留的挥发物得无色透明固体。由碘量法分析,HCA残留量为0.7%。元素分析测定磷的质量分数为8.93%,产物经重结晶,熔点189.4℃,IR及元素分析确定其结构(见工艺流程)。将该产
2 阻燃聚酯的制备方法[4]反应器中加入388g对苯二甲酸二甲酯,248g乙二醇,9.4g上述制备的阻燃剂,催化剂醋酸锌以及三氧化锑(质量分数分别为0.09%和0.03%)。在150~230℃下加热120min,进行酯交换反应。然后,30min内将温度升到275℃,系统慢慢减压,在45min后压力为0.26kPa,在此条件下再继续反应80min,得到的阻燃聚酯粘度0.56Pa·s,熔点256℃。
相关信息 







推荐企业
推荐企业
推荐企业