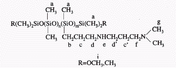
1实验1.1原料与仪器织物:斜纹厚棉布474x235根/10cm;药品:八甲基环四硅氧烷(D,,江西星火化工厂),N,N一二甲基一,一氨丙基一,一氨丙基甲基二甲氧基硅烷(KH-Si-121,杭州大地化工有限公司)、六甲基二硅氧烷(MM,上海华润化工有限公司),均为工业品;催化剂硅醇钾咱制).仪器:VECTOR-22型红外光谱(IR)仪(德国布鲁克公司),INOVA-400型核磁共振仪庆国Varian公司),·DC- RRY100(〕型电脑测控柔软度仪(四川省长江造纸仪器厂),YQ-Z-48B型荧光白度仪(杭州轻通仪器开发公司),KES-F型风格仪.1.2ASO-121的合成在装有搅拌器、温度计和回流冷凝管的250mL三口瓶中,依次加人60gD4,0.1g硅醇钾、计量KH-Si-121及MM,混匀.搅拌下加热至110120℃并且保温反应数小时,在120-125'C,42kPa减压下脱低沸物30min,再高温平衡2h.然后于 120'C,78kPa真空脱低沸物10min.将产物冷却至室温,得透明状粘稠液体,即ASO-121.
1.3ASO-121的应
相关信息 







推荐企业
推荐企业
推荐企业