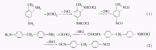
聚氨酯涂层剂是一种高分子弹性体, 用于织物涂层。涂层织物具有伸缩性大, 手感柔软, 强度高, 耐溶剂, 耐低温并能形成多孔性薄膜,防水透湿性好的特点, 该弹性体是由柔软链段( 软段) 和刚性链段( 硬段) 反复交变组成的嵌段聚合物。软段由聚醚或聚酯等多元醇组成,硬段由二异氰酸酯组成。常用的二异氰酸酯有2,4和2,6甲苯二异氰酸酯(TDI)、4,4-二苯甲烷二异氰酸酯 (MDI)、1,6-己烷基二异氰酸酯(HDI)、4,6,6- 三甲基-2-环己烯酮二异氰酸酯(IPDI)、1,5-萘二异 氰酸酯(NDI)和4,4二氨基二苯 -甲烷为原料, 通过光气化反应, 由氨基转变为异氰酸酯, 转化率不高, 约70% ̄80%, 残留在异氰酸酯中的未反应物如未去净, 会残留在聚氨酯涂层剂中, 制备过程见化学反应式(1)、(2)。也可用其它二异氰酸酯代替TDI和MDI, 但价格很贵。
相关信息 







推荐企业
推荐企业
推荐企业