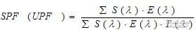
防晒因子(SPF)和紫外防护因子(UPF)其中SPF(Sun Protection Factor)用于化妆品行业,UPF(UV Protection Factor)用于纺织行业。紫外线辐射防护因数UPF也称为紫外线遮挡因数或抗紫外指数,它是衡量织物抗紫外性能的一个重要参数。UPF值是指某防护品被采用后,紫外辐射使皮肤达到某一损伤(如红斑、眼损伤、甚至致癌等)的临界剂量所需时间阈值,与不用防护品时达到同样伤害程度的时间阈值之比,换句话说,是皮肤在使用纺织品前后可接受紫外线辐射量之比。即在一定的辐射强度下,皮肤在使用纺织品后可延长辐射时间的倍数。比如在正常情况下裸露皮肤可接受某一强度紫外线辐射量为20min,则使用UPF为5的纺织品后,可在该强度紫外线下暴晒100min。根据着眼点不同,以及人体皮肤的差异,从理论上讲,某一防护品将有许多UPF值,但一般常以致红斑的UPF值作为代表。另外,紫外辐射的强度、稳定性、再现性和时间延续性,均难以掌握,所以目前大多采用人工模拟光源。UPF的定义与测试,同样是建立在织物紫外光谱透过率的测试基础上的。测算SPF〔UPF)值的方法,可采用下式:
式中λ—光波波长(nm); E(λ)—紫外辐射在各波长段的强度; E(λ)﹒e(λ)表征在不加入防护措施时,紫外辐射在各波长段直接损害人体的强度密度值。T(λ)—紫外辐射在某波段的透过率(吸收率、透过率和反射率之和可视为1)1995年改为以下公式:
S(λ)—相当于e(λ) 或采用下列公式:
式中:T(λ)——试样的光谱透射比;E(λ)——相对红斑量光谱影响力(效应)S(λ)&
相关信息 







推荐企业
推荐企业
推荐企业