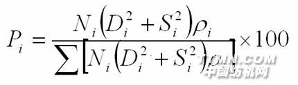
一、目前羊绒含量检测的几种方法1、投影显微镜法(GB/T 16988-1997)2、电子显微镜法(GB/T 14993-1993)3、CU系列电脑投影法二、取样、制片1、散纤维根数在350到400根之间,共取四块片子,总计纤维根数不少于1500根。2、纱线(织物可拆成纱线)将一束纱线用双刀切取0.4mm左右长的纤维放置在载玻片上,滴入适当介质,搅拌均匀,盖上盖玻片,纤维不得流失。(用哈氏切片机切取,纱线根数可适当减少)三、测量1、散纤维将测量细度的片子用楔尺测得纤维直径,其余三块片子中的纤维则逐根分辨记数,不得遗漏,检测根数在1500根以上。2、纱线测量时,先测得各类纤维的细度,再对纤维逐根分辨记数,检测根数不得少于1500根。3、标准中规定需单独测量的纤维:山羊绒直径、驼绒直径、牦牛绒直径、兔毛直径4、褪色四、鉴别1、羊绒:鳞片边缘光滑,类似于环状,包覆于毛干,鳞片密度比羊毛稀,间距大,鳞片较薄。2、土种绵羊毛:外观形态与山羊绒接近,鳞片较整齐,厚度比山羊绒厚,光泽比山羊绒稍差。3、羊毛:细羊毛鳞片多呈环状,粗羊毛多呈瓦状或龟裂状,鳞片密度较密,鳞片平均厚度较厚,纤维轴向细度不均匀。4、马海毛:马海毛鳞片扁平,很少重叠,表面光滑。5、驼绒:驼绒鳞片紧贴于毛干,鳞片较薄,间距较大,边缘光滑,鳞片的形状呈环状或斜条状。6、牦牛绒:牦牛绒多呈黑褐色,无色牦牛绒比较稀少,鳞片较薄,细毛鳞片呈环状,包覆在毛干上,和山羊绒近似。半细毛的鳞片似鱼鳞或瓦状,包覆在毛干上。7、兔毛:兔毛基本上都有髓质层,仅有极少数的细毛无毛髓,兔毛的鳞片多为斜条形。8、羊驼毛:大部分纤维有不连续髓腔,鳞片边缘模糊。 五、计算计算公式:
式中:Pi——某组分纤维重量百分比,%;Ni——某组分纤维的计数根数;Di——某组分纤维平均直径,&m
相关信息 







推荐企业
推荐企业
推荐企业