摩擦纺纱中纱条的形成与加捻
1.)楔形区内纤维的凝聚与纱尾形成
(1)凝聚过程[17-18]
在自由端摩擦纺纱中,单纤维由气流输送到两只摩擦辊(尘笼)形成的楔形区内。纤维流在一定长度LA内被吸附凝聚在纱尾上(自由端),如图6—8所示,纱尾同时被回转加捻。这两个作用过程在时间和地点上是重合的,其中,LA为纤维凝聚区长度,即纱尾长度,LF为摩擦加捻区长度。LF比LA长,可以增强加捻作用,从而使凝聚到纱尾上的所有纤维有效而牢固地包卷在纱体内。
尽管纤维喂人楔形区的方式不同,好多根条子经开松后垂直喂入或倾斜喂入,但在楔形区,单纤维沿LA长度不断喂入到纱尾的同时,加捻成纱的纱条则连续不断地沿其轴向输出。在凝聚区长度LA上,纤维数量(或重量分布)沿纱条输出方向逐渐增加,纱尾各截面的直径也相应逐渐增大,外形是一端细另一端粗,类似“圆锥体”。
由于凝聚是在两只内有长槽孔吸气胆的摩擦辊(尘笼)楔形区形成吸气负压进行的,单纤维在输送管内处于自由飞行状态,进入凝聚区前的形态各异,纤维与回转纱尾相遇直至完全捻人纱尾的位置与时间都具有随意性,所以凝聚过程相当复杂。
纤维进入凝聚区时,沿成纱输出方向的分速度要比成纱输出速度高许多倍,因此纤维凝聚到纱尾时,其运动速度的大小及方向都要发生变化,即突然减速和改变方向。这样,极易使纤维形成弯钩、折皱和屈曲,纤维的伸直度因此受到破坏。
图6—9所示为纤维进入纱尾接触瞬间的可能变化情况,可以看出:
(a)①②VF≥V,纤维顺向进入“超喂”,突然减速变向,形成折皱、屈曲;
(b)③VF≥y,纤维平行进入,伸直度受到一定影响;
(c)④VF≥y,纤维逆向
(d)⑤纤维未以伸直状态进入。
因此,纤维进入凝聚区无论是顺向还是逆向,与纱尾接触瞬间的可能方位对纤维的伸直都不利,期望在凝聚过程中保持纤维的伸直度是相当困难的。
为了保持和改善凝聚区内纤维的伸直状态,应采取一些措施,尽量保持凝聚区内纤维与纱轴平行,在捻入纱尾时不破坏原有的伸直度。例如采用倾斜角较小的纤维输送管道,以及在其终端附加吸口等方法。也可借助静电力或相当的机械力和气流力等,使纤维伸直。不过,由于目前摩擦纺所固有的特性,纤维凝聚过程的运动是减速和改变方向的,要达到理想的定向状态似乎是不可能的。
(2)纱尾长度内纤维数量分布[19]
在凝聚区长度LA内,纤维数量沿纱尾长度方向的分布是不均匀的,其分布函数和曲线与纤维喂人方向以及其他条件有关,较为复杂,纱尾的几何形状更为复杂。但当成纱输出速度一定时,凝聚区内喂人纤维量是均匀的,在纱尾体积密度不变的情况下,纱尾的半径分布曲线(纱尾的外形)可视为抛物线,如图6—10所示。
其表达式为
在纱尾形成过程中,新喂入的纤维在由细到粗的回转纱尾上不断形成层状的堆积层,纱体内纤维均沿着轴向层层排列,犹如许多锥体相套,成纱具有分层结构(如图6—11所示),这导致了纱尾加捻过程的复杂性及成纱经向捻度的不匀性。
2)纱条内捻度分布
(1)纱尾捻度分布
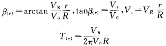
纤维在凝聚区长度LA内形成的纱尾,在一定的条件下,其外形近似抛物线。这种形状的纱尾在整个长度上通过摩擦传动加捻,纤维沿抛物线面呈螺旋排列,捻回角为β,如图6—12所示。
图中:x为纱体任一截面与纱梢(尖端)的距离;Rx为距离为J处的纱尾截面半径;r为距离为x处的纱尾任一截面的半径;R为成纱半径;Vr为纱体圆周速度。
纱体内
式中:VR为摩擦辊(尘笼)回转的圆周速度;V0为纱条输出速度。
相应捻度:
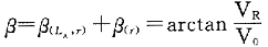
由上式可知,在整个纱尾长度LA上,纱体各截面内任一点的捻度不仅与r有关,还随x变化而不同。当x=LA时,此处纱体截面内任一点的捻回角和捻度分别为:
由此可见,纱条捻度的多少主要由尘笼转速决定,而纱体截面内的捻度分布,随r的变化沿径向自外向内不断增加,如图6—13、6—14所示。
(2)成纱捻度分布[20]
纤维凝聚结束时,纱条已成纱,截面积一定,但在LF-LA纱段上,纱条仍受摩擦辊的传动而回转加捻,如图6—15所示。
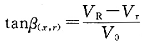
暂不考虑LA纱尾段所获得捻度的情况,仅计LF-LA纱段在回转加捻时成纱各截面上获得的捻回角和捻度:
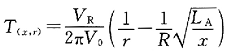
实际上,LF-LA纱段的回转加捻是在LA纱段获得捻度分布的基础上进行的,因此LF-LA纱段各截面上获得的捻度应是叠加的结果:
式中可以看出成纱截面内捻回角β为一常数,而捻度T则是r的函数,由外向内逐渐增加,如图6—16所示。
式中:D为摩擦辊直径;n为摩擦辊速度;d为成纱直径;Vo为成纱输出速度;V为加捻效率(考虑到摩擦辊与纱条的打滑)。
此种纱的捻度测定时,仅能测得纱的外层捻度。
相关信息 







推荐企业
推荐企业
推荐企业