纺机网技术中心

您所在的位置:纺机网>>纺织工业技术中心>>纺织学院技术列表
纺织学院技术列表

牵伸机构的主要元件之胶辊

牵伸机构的主要元件之胶辊 胶辊是以金属或其他材料为芯,外覆橡胶经硫化而制成的辊状制品。 一、分类 按用途可分为造纸胶辊、印染胶辊、印刷胶辊、砻谷胶辊、冶金胶辊及油印胶辊等; 按表面形态可

牵伸区内纤维数量的分布

牵伸区内纤维数量的分布 在牵伸区内,由后钳口向前钳口方向,从出现快速纤维开始,须条截面中的纤维数量即开始变化。愈向前,快速纤维越多,须条截面中纤维数量越少,在前钳口,所有的纤维均变为快速纤维,

牵伸区内纤维运动的控制

牵伸区内纤维运动的控制 在牵伸过程中,控制纤维的运动,是提高须条均匀度的关键。 牵伸装置对纤维运动的控制是依靠其对须条的摩擦力界合理布置而建立的。 1.摩擦力界布置 摩擦力界布置应该使其一方面

牵伸区内须条摩擦力界及其分布

牵伸区内须条摩擦力界及其分布 纤维在牵伸过程中的运动决定于牵伸过程中作用于纤维上的外力。作用在整个须条中各根纤维上的力如果不均匀、不稳定,就会引起纤维变速点的分布不稳定。 (一)罗拉钳口的

细纱的加捻与卷绕和细纱的成形

细纱的加捻与卷绕和细纱的成形 一、细纱的加捻过程 (一)加捻卷绕过程 1、细纱的加捻:纱条的加捻,其实质就是利用须条横截面间产生相对角位移,使原来伸直平行的纤维与纱轴发生倾斜来改变须条结构。纱条由扁平状形

细纱概述

细纱概述 一、细纱工序在纺纱中的地位 1.细纱机机台的多少决定了企业的规模。 十一万纱锭以上为大一企业; 八到十万纱锭为大二企业; 五到八万纱锭为中型企业; 四万纱锭以下为

细纱工程的任务

细纱工程的任务 在细纱机上将在前纺工序加工的粗纱,纺成条干均匀的,支数及捻度符合产品设计要求的细纱。 细纱机主要作用是: 1、牵件:将粗纱均匀地抽长拉细列成纱设计要求的支数。 2、加捻:将牵伸后的须条

细纱机的牵伸工艺配置

细纱机的牵伸工艺配置 1.自由区长度a (1)定义:上销或下销前缘到前钳口的距离。 (2)a对牵伸的影响:a小时,皮圈钳口对纤维的控制能力强,纤维变速点向前钳口集中,有利于成纱条

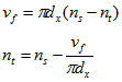
纤维变速点的分布

纤维变速点的分布 为了研究牵伸过程中纤维的变速界面,可采用以下方法进行试验测试。 如图5-3-4所示,在牵伸装置内放好试验用的棉条,在开车前将数根染有不同颜色的纤维头端,按等距离依次夹在棉条内,并在棉条上做一

纤维的伸直平行作用

纤维的伸直平行作用 通过牵伸可以提高须条中纤维的平行伸直度,改善须条中纤维的弯钩状态,提高成纱质量。 (一)平行伸直的概念 一根纤维在空间的真实长度(或称原始长度)为ab,如图5-3-

影响伸直平行效果的主要因素

影响伸直平行效果的主要因素 实践证明,影响纤维伸直平行效果的主要因素有牵伸倍数及牵伸分配,牵伸型式,罗拉握持距和罗拉加压及工艺道数等。 1.牵伸倍数及牵伸分配    

影响握持力和牵伸力的因素

影响握持力和牵伸力的因素 1.影响握持力的因素 握持力的大小决定于上下罗拉与须条的摩擦系数及罗拉上 的加压。因此,影响握持力的因素,除罗拉加压外,主要有皮辊的硬度,罗拉表面沟槽的形态

MVS涡流纺纱技术的发展

MVS涡流纺纱技术的发展 内容提要:日本村田公司在1995年法国国际纺织机械展览会上展出了MVS851涡流纺纱机,可以生产纯棉纱。最近又在MVS851基础上开发了MVS861涡流纺纱机
关于纺织机械 | 网络推广 | 栏目导航 | 客户案例 | 影视服务 | 纺机E周刊 | 广告之窗 | 网站地图 | 友情链接 | 本站声明 |

服务热线:027-8787 4011  服务传真:027-8725 5755

24小时客服:180 8600 9449 189 7135 6279  QQ:3352234307 3186169641

邮 箱:ttmn@ttmn.com 版 权:Copyright © 2017 纺织机械 WWW.TTMN.COM

工博网 经营许可 武汉网监局 不良信息举报中心